Sparse attention 7 -- Stack of causal attention creates implicit positional embedding, and explaning "Loss in the middle"

Author: Ziming Liu (刘子鸣)


Motivation

I was reading the paper “Why Are Positional Encodings Nonessential for Deep Autoregressive Transformers? Revisiting a Petroglyph”, which makes an interesting claim: even without explicit positional embeddings, multi-layer causal attention may implicitly encode positional information, despite the fact that a single-layer causal attention is permutation equivariant. Figure 1 from the paper is shown below:

The goal of this article is to measure how well multi-layer causal attention can extract previous tokens based purely on position. Given a sequence of random tokens (with context length \(C\)), the target is the \(k^{\rm th}\) token in the sequence (\(0 \leq k \leq C-1\)). For example, when \(C = 5\) and \(k = 1\), example sequences are

\[[5]\ [2]\ [3]\ [7]\ [9] \to [2]\] \[[1]\ [9]\ [2]\ [5]\ [8] \to [9]\]

We set the vocabulary size to \(V = 10\), context length to \(C = 10\), and the number of attention heads to \(n_{\rm head} = 1\). We are interested in varying the number of layers \(n_{\rm layer}\), the embedding dimension \(n_{\rm embd}\), whether residual connections are used, and whether MLPs are included.


2L is qualitatively different from 1L

For each \(0 \leq k \leq C-1\), we train the transformer to convergence and record the final loss. We then plot how the final loss depends on \(k\). This roughly measures positional bias: a high loss means that retrieving information from that position is difficult—the loss cannot be driven down even when the model is explicitly trained on the retrieval task.

In sparse-attention-2, we showed that a 1-layer causal attention model cannot retrieve any previous token (\(k \neq C-1\)), but can retrieve the current token (\(k = C-1\)). This corresponds to the left plot below (high loss for \(k \neq 9\), and almost zero loss for \(k = 9\)). The right plot shows the result for a 2-layer causal attention model, which exhibits the well-known “lost in the middle” phenomenon: early and late tokens are easily retrieved, while tokens in the middle are difficult to extract.


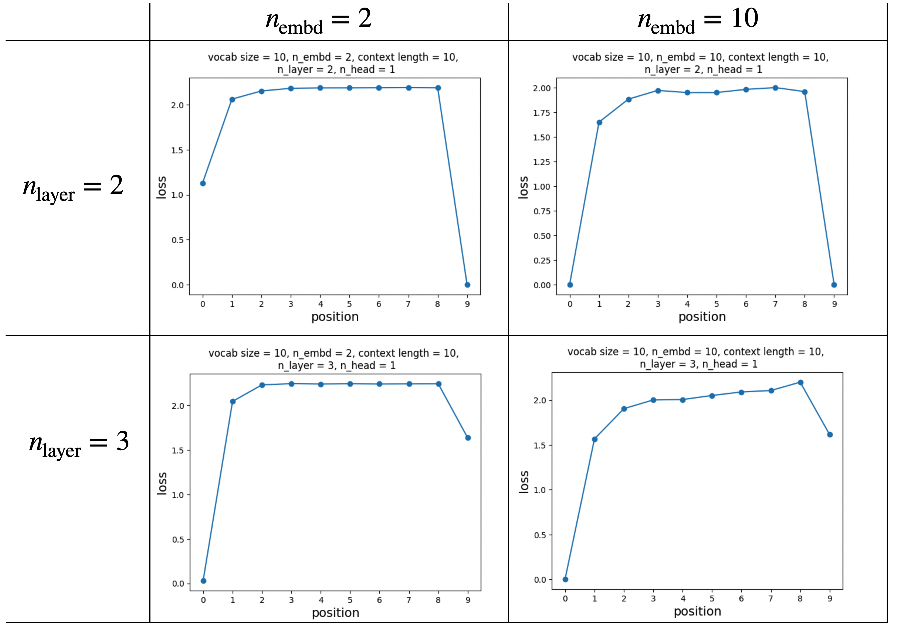
Embedding dimension and number of layers do not change the qualitative behavior

We experiment with embedding dimensions \(\{2, 10\}\) and number of layers \(\{2, 3\}\). The qualitative trend remains unchanged: only the first and last tokens can be retrieved reliably, while tokens in the middle remain difficult. This manifests as a long plateau in the loss curve across middle positions.


Residual connections and MLPs destroy the long plateau

When residual connections and MLPs are added, the long plateau disappears and is replaced by a more spiky structure.


Comment

This study suggests a simple mechanism underlying the “lost in the middle” phenomenon: even without explicit positional embeddings, stacking multiple causal-attention layers naturally induces an architectural bias toward losing information in the middle of the sequence.


Code

Google Colab notebook available here.


Citation

If you find this article useful, please cite it as:

BibTeX:

@article{liu2026sparse-attention-7,
  title={Sparse attention 7 -- Stack of causal attention creates implicit positional embedding, and explaning "Loss in the middle" },
  author={Liu, Ziming},
  year={2026},
  month={January},
  url={https://KindXiaoming.github.io/blog/2026/sparse-attention-7/}
}



Enjoy Reading This Article?

Here are some more articles you might like to read next:

  • Sparse attention 3 -- inefficiency of extracting similar content
  • Sparse attention 4 -- previous token head
  • Emergence of Induction Head Depends on Learning Rate Schedule
  • Memory 2 -- How many bits does each parameter store? An analysis of MLP
  • Sparse attention 5 -- Attention sink